Notice: With the end of the Public Health Emergency (PHE) unwinding period, the PHE Unwinding Interactive Dashboard has been de-activated. The HUSKY Health Renewal Outcomes and HUSKY Health Program Performance dashboards have been relocated, follow links below.

The HUSKY renewal data related to the unwinding period (April 2023-March 2024) can still be accessed by selecting the appropriate months on the new HUSKY Health and MSP Renewal Outcomes Dashboard.  

Click here to be connected to the HUSKY Health Renewal Outcomes dashboard for renewal data.

Click here to find HUSKY Health Program Performance dashboards for program data.

CT UNWINDING DATA

PHE Unwinding Interactive Dashboard

This dashboard is modeled after the Department of Social Service’s PHE Unwinding monthly data reports. This dashboard allows for filtering of the data, providing users more customized slices of the data.  It will be updated on a monthly basis.


A link to the PHE Unwinding Dashboard User Guide is located under the Foundational Reference Documents below.

HUSKY Health Program Performance Dashboard

This downloadable set of data tracks HUSKY Health program performance throughout the Public Health Emergency (PHE) unwinding period.  Key metrics on HUSKY enrollment, application timeliness, renewal outcomes, and call center metrics are included.

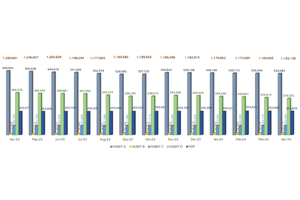
Medical Enrollment - April through April 2024

  • First medical terminations due to unwinding effective 5/1/23.
  • Over three-quarters of HUSKY Health enrollees retain HUSKY coverage after completing renewals each month.

Medical Application Timeliness through April 2024

  • DSS is successfully maintaining a monthly average of 98% timely processing of new medical applications. CT continues to be a national leader in timely processing.

Medical Renewal Outcomes - April to April 2024

  • From April to April, an average of 83% of individuals maintained coverage at month end.
  • Individuals who disenroll often re-enroll after the month end.